
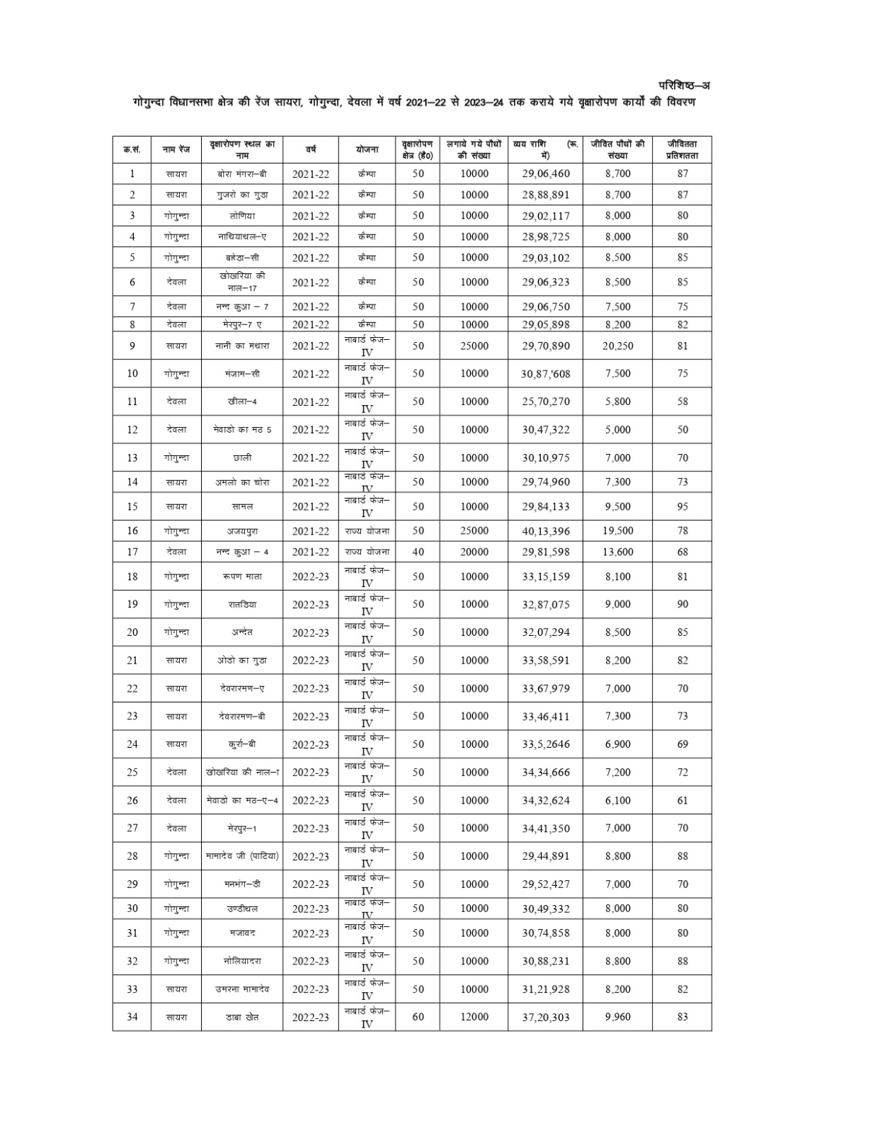
24 न्यूज अपडेट उदयपुर। पौधे लगाने में वन विभाग में घालमेल चल रही है। इसकी बानगी विधानसभा में उठागए गए प्रश्न व उसके जवाब से मिलती है। वन राज्य मंत्री संजय शर्मा ने शुक्रवार को विधानसभा में आश्वासन दिया कि गोगुन्दा विधान सभा क्षेत्र की रेन्ज सायरा, गोगुन्दा , देवला में विगत तीन वर्षों में करवाये गये वृक्षारोपण के संबंध में शिकायत प्राप्त होने पर तीन सदस्यीय समिति गठित कर जांच कराई जाएगी। इस बारे में गोगुंदा विधायक प्रतापलाल भील ने सवाल किया था कि
वन राज्य मंत्री प्रश्नकाल के दौरान सदस्य द्वारा इस संबंध में पूछे गए पूरक प्रश्नों का जवाब दे रहे थे। उन्होंने बताया कि विभाग द्वारा वन स्थिति एवं वृक्षारोपण कार्यक्रम की जांच की जाती है। थर्ड पार्टी से भी जांच कराई जाती है। इसके साथ ही केन्द्र सरकार द्वारा सेटेलाइट के माध्यम से भी वन क्षेत्र की जांच की जाती है। गोगुन्दा विधान सभा क्षेत्र की रेन्ज सायरा, गोगुन्दा, देवला में विगत तीन वर्षों में करवाये गये वृक्षारोपण एवं व्यय की गई राशि का योजनावार विवरण तथा उप वन संरक्षक उदयपुर (उत्तर) से प्राप्त सूचना अनुसार वर्तमान में जीवित पौधों की संख्या का विवरण सदन के पटल पर रखा जाए। मंत्रीजी ने जो सूचना रखी उसका आप खुद अवलोकन करें और तय करें कि कहां कितना जनता की गाढी कमाई का पैसा किस रूप में खर्च हो रहा है। मंत्रीजी की ओर से दी गइ सूचना में कुल 73 जगहों पर किए गए पौधारोपण का ब्योरा है। जब पूछा गया कि कितने पौधे जीवित हैं तो सारे फीगर केवल लपंसम बताए गए हैं एग्जेक्ट नहीं । इससे सवाल खडे होते हैं कि क्या वन विभाग केवल आंकडेबाजी कर रहा है या फिर जमीन पर भी काम हो रहा है।
Discover more from 24 News Update
Subscribe to get the latest posts sent to your email.